Accelerating Queries with Group-By and Join By Groupjoin
这篇paper介绍了HyPer中引入的groupjoin算子,针对 join + group by这种query,可以在某些前提条件下,在join的过程中同时完成grouping+agg的计算。
比如用hash table来实现hash join和group by,就可以避免再创建一个hash table,尤其当join的数据量很大,产生的group结果又较少时,可以很好的提升执行效率。
文中提出了2个等价的变换:
- left outer join + group by => groupjoin
- inner join + group by => groupjoin
这个变换的前提是存在某些Functional Dependency!
这种变换是一种特定情况下针对物理实现的优化,所以总是benificial的,不会带来负面效果。
基本术语
- 基本概念及标记
在之前涉及HyPer的文章中,已经介绍了F(e) 这个符号,表示e中引用的属性集合。
{ \cdot }s 表示set(无重复),{ \cdot }b表示bag(multiset,可重复)。
\Pi 表示投影, \Pi^{D} 表示去重投影。
\chi a:e2 (e1) 表示mapping操作,对于e1的每条Input tuple,计算e2这个表达式,结果保存在一个新的属性列a中。
对于 = 操作,如果null = null,结果是unknown,但在grouping的计算中,null = null是成立的,用在=上加(.)来表示。
A -> TID(e) 表示属性列集合A的元素,可以functional决定e的一行数据。
\bot_{A} 表示在属性列集合A上,均为NULL值。
- 聚集函数的特性
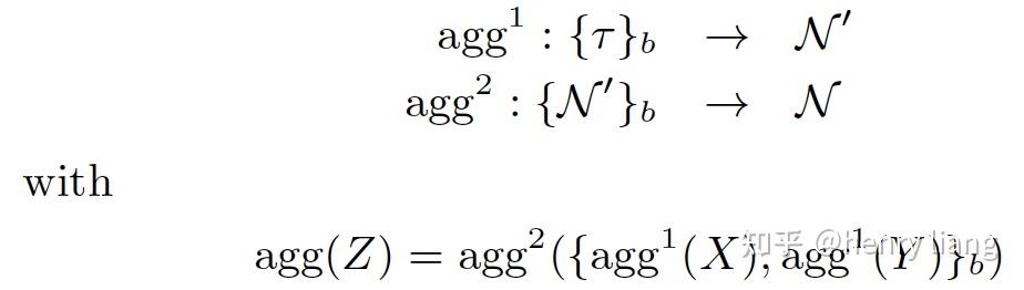
如果聚集函数可以分步骤完成(局部 -> 全局),称这种聚集函数是 decomposable 的:
 
             
            其中 Z = X \cup Y ,且X, Y无交集。这种属性可以保证聚集操作被拆分为任意粒度,各自独立做局部计算,然后再做全局汇总,仍可得到正确结果。
 
             
            上图是SQL中最常见的decomposable聚集函数,其中 count^{NN} 是对non-null值的计数。
扩展这个概念来描述对多个属性列,各自独立的计算agg函数的aggregation vector:
 
             
            其中每个aggi表示第i个聚集函数,其局部的聚集结果是 b_{i}^{'} ,bi则是全局的聚集结果。
如果对于一个aggregation vector F以及对应的两个expression e1/e2。可以做如下拆分:
F = F1 \circ F2 且 F(F1) \cap A(e2) = \phi 且 F(F2) \cap A(e1) = \phi
即F1和F2各自表示一部分vector中的一部分聚集函数,且F1仅引入e2的列,F2仅引用e1的列,则称F是 splittable 的。
例如sum(a1 + a2) = sum(a1) + sum(a2),这个sum聚集是可以针对不同属性列拆开计算的。
注意,decomposability 和 splittability 是可以做groupjoin的前提条件!
此外,一些聚集函数是对重复值不敏感的,比如min/max/aggr(distinct),其他则是敏感的,比如普通的sum/count/avg。
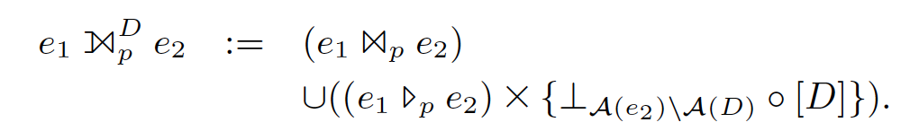
- Left Outer Join
这里对其描述进行了一个扩展,允许在join不上做填充时,对某些指定的列,填充某个default value,而不是NULL值:
 
             
            以上公式中,D = d1 : c1; ... dk : ck,表示在di这些列上,设置默认的填充值为ci。这对于后面groupjoin的等价转换时有意义。
- Group By
这里只列出一个简单形式的标记方式,已经足够用来理解后续的内容:
 
             
            其中G是group by列集合,g是聚集结果向量,Fg是聚集函数vector。
- GroupJoin
 
             
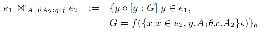
            GroupJoin是一种物理上的优化实现,方式是:
两个表e1/e2执行join A_{1} \theta A_{2} ,对于外表e1的一行数据y,内表e2所有可以与其join上的行集合{x},形成一个bag (multiset) ,对这个bag应用函数f后得到的一个标量结果并append到y后面,构成了新的属性列g。而这一组数据,就 完整的对应了实际的一个分组数据! 这样当join结束时,所有分组的计算都完成了。
简略的记法是
 
             
            例如这样一个groupjoin:
select e1.a1, sum(e2.b2) as c2
from e1 join e2 on e1.a1 = e2.a2
group by e1.a1;其执行过程如下
- 先在e1.a1列上,build hash table
- 聚集函数c2由于是sum,其值初始化为0
- e2的每行数据t2进行probe,如果可以匹配a1 = a2,则更新t2中的属性列所对应的那个聚集函数,这里是sum(b2),累计e2.b2到结果c2中。
- probe完成,所有e1行的聚集函数已经计算完成,结果输出
注意groupJoin的一个特点是, 外表e1的输入是没有重复的 ,这样在groupjoin完成后生成的分组列+聚集函数才能没有重复,从而得到最终聚集结果。
 
             
            例如上图中,第一个groupjoin,由于左表有重复值,最终结果中也按照a1存在重复值,不是最终结果(如果要得到最终聚集结果,需要二次聚集)。而第二个groupjoin,左表没有重复值,因此可以得到正确结果。
等价形式
- group的基本特性
 
             
            G是G+的子集,也就是先在一个更细粒度的分区(G+决定),做局部聚集,再在更粗粒度的最终group列上,做全局聚集,和直接在粗粒度做全局聚集效果相同。
存在functional dependency时可以更进一步,如果 G -> G’ 这种FD成立,则如下等式成立:
 
             
            虽然G'中包含更多分组列,但由于FD的决定关系,这些列不会改变G所决定的分组情况,所以加不加这些冗余列,结果没有区别,这样就可以引导我们对Group列进行化简,去掉被决定的冗余列,使group列数量最小化提高计算效率。这和上一篇SCOPE优化器中提到的group列的reduction策略是一致的:
假设 H -> G,则多出来的冗余列记为 G\H。在聚集时,这些列的值会被H的值所唯一决定,所以每个分组只需要copy一下这些列的值就可以了。
如果每个group在join之后只有一行数据,即对于join的结果e, G -> TID(e),则可以直接去掉group by + agg。
- Groupjoin的基本特性
GroupJoin可以描述成等价的形式:
 
             根据groupjoin的语义,e1的一行t1,对应的e2的所有join行t2集合,构成一个分组,如果聚集函数F只针对e2的列,则可以先对e2,针对J2做聚集,然后再和t1 join,结果是等价的。
这里有一个特例,就是count(*)的处理,当join不上时,e2这边是空bag,count(*) = 0,但实际中因为有t1这行,count(*)应该是1,这时可以使用前面提到的带有default value的left outer join,对count(*)的列设置default value为1,即可。
应用条件
- left outer join + group by => groupjoin
有了以上的一系列等价变形后,paper给出可以将left outer join + group by转换为groupjoin的前提条件,先补充几个标记法:
对于分组列 G,其包含G1 + G2,分别属于e1,e2左右两个relation。
G_{i}^{+} = G_{i} \cup J_{i} ,也就是任一侧的分组列+join列
F(F) \subseteq A(e2). 即只针对e2表的列做聚集
 
             满足以上4个条件,则可以应用groupjoin的执行方式。让我们逐条看下
- condition 1意味着一个分组G只对应e1表的一行数据,不会有e1的两行数据属于同一个分组。这和前面讨论的,对e1的每一行,join的结果形成一个分组的结论一致。此外 G \rightarrow G_{2}^{+} 的意思是, G_{2}^{+} 相对于G来说并不是一个更细粒度的分组!如果是更细的分组,会导致G的一组数据,可能包含多个G2 + J2值对应的分组,因此一次join结果是不完全的。
- condition 2意味着J2 -> G2,也就是J2的join值确定,e2表的group列值也就确定了,即具有相同join值的结果,也同时具有相同的G2值,如果这条不成立,则一次join的结果会属于不同的分组。
- condition 3其实是可以放松的,列在这里个人理解是从实现简单的角度考虑。
- condition 4要求聚集函数对于NULL值的处理与空集的处理一致,例如count(NULL) = count( \phi )。
- Inner join + group => groupjoin
 
             转换的前提条件基本和上节一致,只是增加了谓词c2 > 0,可以拒绝掉e2上填充的NULL值。
示例
以TPC-H(SF=1) Q13为例
select c_count, count(*) as custdist
(select c_custkey, count(o_orderkey) as c_count
 from customer left outer join
 orders 
 on c_custkey = o_custkey
and o comment not like
'%special%requests%'


 
                        