关于此,我确信已发现了一种美妙的证法,可惜这里空白的地方太小,写不下,
x^{n}+y^{n}= z^{n}
显然是一个微分流形,关于向量的加法构成一个李群,黎曼度量g定义在
sinnx,sinny,sinnz
,
Hilbert
定理有
R^{3}
中不存在具有常负高斯曲率的完备曲面,
Lobatchevski
上半平面高斯曲率
K\equiv-1
,令
H\subset R^{2}
,不存在
H
在欧氏空间
R^{3}
中的等距浸入,一个自然的问题是,
Lobatchevski
上半平面
H
是否可以等距嵌入(浸入)到较高维数(
n\geq4
)的欧氏空间之中?定理(
Rosenborn
)
Lobatchevski
上半平面
H
可以等距浸入到欧氏空间
R^{5}
中,等距浸入不等于有整数解,且不排除当
x,y,z,n
充分大时有整数解的可能性,n维向量场,
\omega_{a}=x^{n},\omega_{b}=y^{n},\omega_{c}=z^{n},
\omega_{a},\omega_{b},\omega_{c}
的测地线
cosnx\leq1,cosny\leq1,cosnz\leq1,
x^{n}+y^{n}=z^{n}
等价于
cosnx+cosny=cosnz
,——它有显而易见的整数解:
x^{n}+y^{n}=z^{n} ,n不变的x,y,z向量场的加法运算,费马大定理有x=0,y=0,z=0成立,加法定义测度的空间填充,费马大定理不成为定理,我们定义 \mathbb{N}^k 是自然数的 k 次幂构成的集合,即 \mathbb{N}^k=\{n^k\mid n\in\mathbb{N}\} 。那费马大定理就等价于: \mathbb{N}^k 对于 k\geq3 是无和集,
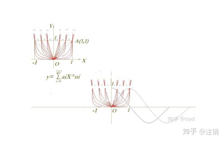
n维空间填充定理:1.一维线
\Omega_{A} ,测地线直线数轴
二维面 \Omega _{B}=\sum_{i=0}^{2}{a_{i}}x^{n-i} ,三维体 \Omega_{C}=\sum_{i=0}^{3}a_{i}x^{n-i} ,四维空间 \Omega_{D}=\sum_{i=0}^{4}a_{i}x^{n-i} ......,n维空间 \Omega_{N}=\sum_{i=0}^{n}{a_{i}}x^{n-i} ......,
被完全填充:填充
\gamma 一定垂直于被填充 \Omega ,势能最小, \gamma 是 \Omega 的测地线(证明从略)
n维空间完全填充的定义:非0填充γ一定垂直于被填充Ω,γ是Ω的测地线时成为完全填充(填充密度最大)
2.
\Omega^{n} 的测地线是 f(t)=f(a_{i}cos\omega _{i}x,b_{i}sin\omega_{i}x) ,平行线是 f(t)=f(a_{i}sin\omega_{i}x,b_{i}cos\omega_{i}x) (证明从略),数学上, x=sinx,x=cosx 同解。
3.0点填充可100%填充.
4.公式推广到n维空间,不同的维度数有不同的填充频率
假设空间中有向量场 \mathbf {F} =F_{x}\mathbf {i} +F_{y}\mathbf {j} +F_{z}\mathbf {k} ,那么观察空间中的微小的长方体:
散度:
\mathbf{div\,} \mathbf {F} = \frac{\partial F_x}{\partial x} + \frac{\partial F_y}{\partial y} + \frac{\partial F_z}{\partial z} \\
散度是给我们一个向量场,我们得到的是一个标量,
加法群性质定理,三个正交加法群一定形成环,
n≥3, x^{n},y^{n},z^{n} 形成环,不是群,
考虑二维的情况,
我们定义 \mathbb{N}^k 是自然数的 k 次幂构成的集合,即 \mathbb{N}^k=\{n^k\mid n\in\mathbb{N}\} 。那费马大定理就等价于: \mathbb{N}^k 对于 k\geq3 是无和集 。
对于任意无理数 \alpha , n\alpha-[n\alpha] 在 [0,1] 中稠密,自然数映射到 \left[ 0,1 \right] 区间,任一无理数等于两有理数的和(差)、和差表示:实数的1+1定理。