TypeORM的那些事

介绍

Object–relational mapping (ORM, O/RM, and O/R mapping tool) ,在不同类型的系统中,使用对象的语言进行数据的转换

丰富的特性

较为丰富的特性 1. 支持 DataMapper 和 ActiveRecord 模式
2. 支持复杂语法查询(各种join、分页)
3. 支持多重继承模式、级联、索引、事务
4. 支持迁移和自动迁移、连接池、主从复制
5. 查询缓存
6. 懒加载
7. 支持多数据源,多数据库类型
8. 支持非关系数据库:mongo
9. 监听者和订阅者
10. 支持闭包表模式
11. 数据删除和恢复
12. 命名策略
13. 锁模式(lockMode)
14. 命令行工具
1. DataMapper:在存储库(Repository)而不是模型中访问数据库的方法。
2. Active Record:在模型(Entity)本身内定义所有方法,并使用模型方法来进行保存、删除和加载对象。Entity通过继承BaseEntity实现
3. 主从复制实际是读写分离
4. 继承:减少代码中的重复,有单表继承和类继承两种
5. 级联:ManyToOne,OneToOne等
6. 结果缓存,可以存储在DB的table中,或者redis
7. 监听者和订阅者:定义在实体内,可进行操作(update、insert、remove)前后的监听。两者应用范围不同,是同一类事件(InsertEvent)
8. 可支持的数据库:MySQL/MariaDB/Postgres/SQLite/Microsoft SQL Server/Oracle/SAP Hana/sql.js
9. 命名策略,用于对象关系映射
10. 数据删除和恢复 :softRemove/ recover, softDelete/ restore
配置简便 1. 可通过编码方式来实现配置
2. 支持多种类型的配置文件("env", "js", "cjs", "ts", "json", "yml", "yaml", "xml")
3. 支持多种数据库
1. 默认配置文件名前缀为 ormconfig,配置在根路径下
2. 对数据库的支持,代码耦合较重,比如lockMode的处理,深度侵入在QueryBuilder中
跨平台 1. 可在NodeJS/浏览器/Ionic/Cordova/React Native/Expo/Electron等平台上使用
2. 支持TypeScript和JavaScript

基础架构

组件/结构模型

对用户使用来说,有三种方式

1. 原生的sql语句

2. 基于Repository操作语法(api),通过定义OperationOptions方式设置参数

3. 基于QueryBuilder的操作语法(api),提供where、orderBy等语法糖

逻辑模型

用户使用角度看分成三部分

Typeorm 初始化

组件初始化视角

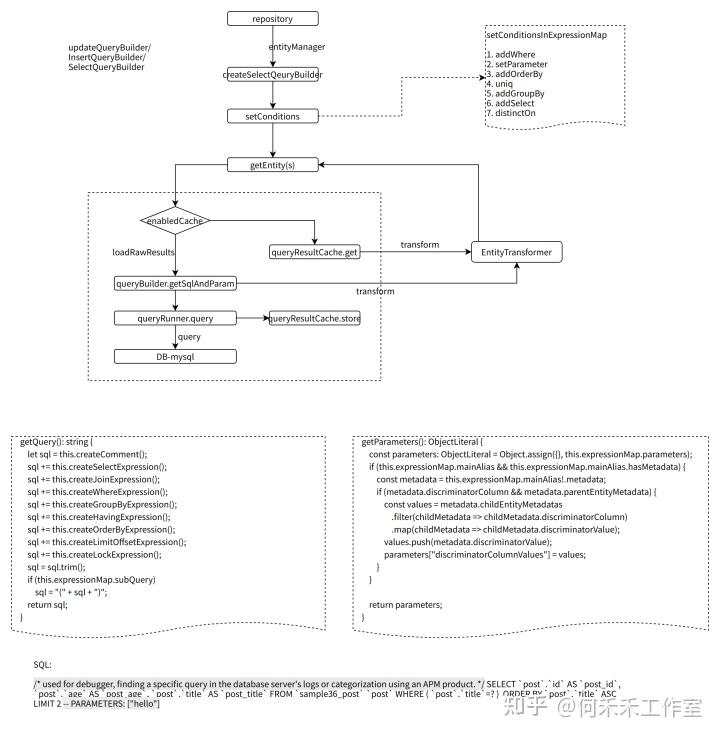
ORM执行过程

simple模式

执行过程:select * from user where name = 'davi';


查询条件保存在ExpressionMap的对象中

分页模式(getManyAndCount)

包含Skip & take & orderBy关键的查询

部分特性

缓存设置

初始化

支持查询结果缓存,在ConnectionOptions中配置即可

读写过程

使用限制(注意事项)

1. 只能在queryBuilder\ repository中进行设置,没有对外暴漏直接的操作接口

2. 只能批量删除,不支持batchGet,其他操作如下

connect/disconnect
storeInCache
getFromCache
isExpire
remove(identifiers:string[])
clear: flushDB

3. redis-sentinel、cluster模式都支持,其中sentinel模式,需要在客户端初始化的时候,通过 options 传入

4. Connection(ORM)持有RedisQueryResultCache对象,RedisQueryResultCache在各个对象的操作中共享


使用方式

TypeScript
// 设置缓存 - queryBuilder
const users = await connection
  .createQueryBuilder(User, "user")
  .where("user.isAdmin = :isAdmin", { isAdmin: true })
  .cache("users_admins", 25000)
  .getMany();
// 设置缓存 - repository
const users = await connection.getRepository(User).find({
  where: { isAdmin: true },
  cache: {
    id: "users_admins",
    milisseconds: 25000
// 清理缓存
await connection.queryResultCache.remove(["users_admins"]);

懒加载

关联对象查询,有两种类型:直接加载、延迟加载(懒加载)

  • 直接加载:执行完对主加载对象的 select 语句,马上执行对关联对象的 select 查询
  • 延迟加载:执行对主加载对象的查询时,不会对关联对象执行查询。但当访问主加载对象的详情属性时,就会马上执行关联对象的select查询

延迟加载

  1. 在具有关系(比如@OneToMany)的实体类中,同时关系必须有 Promise 作为类型
  2. 可实现分散SQL请求,解决嵌套子查询的并发效率问题
执行过程


树形结构存储和查询

closure-table 闭包表 1. 实体类中添加注解
@Tree("closure-table")
@TreeParent()
@TreeChildren
2. 数据库中一张表维护父子关系
主要包含两个字段:<id_ancestor, id_descendant>

根据任何一个,可以向上查询到根结点,也可以向下查询到整个子树
读取和写入方面都很有效
materialized-path 物化路径 1. 实体类中添加注解
@Tree("materialized-path")
@TreeParent()
@TreeChildren
2. 表中默认增加一个mpath的字段
mpath维护从根结点到当前节点的完整路径
nested-set 嵌套集 1. 实体类中添加注解
@Tree("nested-set")
@TreeParent()
@TreeChildren
2. 表中默认增加两个字段:nsleft, nsright
集合的左右节点[nsleft,nsright]

增加节点时,新节点的所有右边节点的值都加 2。查询时按节点的边缘走,子节点的 _lft 值总是在其父节点的 _lft值 和 _rgt值 之间
1. 读取非常有效,对写入不利
2. 现有的设计,默认只能存在一棵树(root entity duplicated),不能在嵌套集中有多个根
adjacency-list 临接表 通过父子关系来维护 1. 查询因为要用递归,虽然容易理解但严重影响效率
2. 取不到整个树

嵌套集合介绍

通过集合的包含关系表示分层结构,每一个分层可以用一个集合(如下图中的一个圈)来表示。在 MySQL 中定义两个字段 nsLeft 和 nsRight ,即集合的左值和右值来表示一个集合的范围。

一种分层模型

多数据源

1. 单链接访问单独的库

过程描述

2. 单链接访问不同的库

const users = await connection
    .createQueryBuilder()
    .select()
    .from(User, "user")