Multi label Synthetic Minority Over-sampling Technique,MLSMOTE

在处理分类问题时,类别失衡是我们经常遇到的问题,也是经常出现在实际使用场景中的问题。类别失衡会给预测任务带来挑战,并且会导致少数类别的预测效果较差因为大部分机器学习算法的假设场景是类别(数据)平衡的前提。

本文原始链接 MLSMOTE

分类是一种有监督学习技术,是将目标数据分类至提前已经定义好的类别中。大多数有监督学习方法,基于一种正式的设定,其数据对象用特征向量的形式表示,每一个对象唯一对应于一组不相交的类标签(目标)。主要有以下四大类:

  1. 二分类Binary Classification:在二分类问题中,一个实例对应于一个或者另一个标签。如一个人对应于男生或者女生;
  2. 多分类问题Mutil-class Classification:在多分类问题中,目标变量包含两个以上不同的值,比如一个人年龄按照区间可以分为儿童、青年、中年、老年等;
  3. 多标签分类Mutil-label Classification:在多标签分类任务中,目标变量有多个维度,每个维度都是二分类的,即只包含两个不同的值。如,电影类型分类,如果是一个单一的电影可以分为喜剧和戏剧。
  4. 多维分类:是对多类分类Mutil-class的扩展,目标变量的每个维度都是非二元的non-binary。

SMOTE

在一些分类情况下,与一个类相关联的实例数量远远少于另一个类,这导致了数据不平衡的问题,它极大地影响了我们的机器学习算法的性能。在多标签分类的情况下,标签分布不均匀也会出现这个问题。为了克服数据不平衡的问题,我们使用了各种方法和技术,数据扩充就是其中之一。在本文中,我们讨论了一种常用的不平衡多标签数据扩充方法,即多标签合成方法(Multi label Synthetic Minority Over-sampling Technique,MLSMOTE)。

MLSMOTE是多标签分类中最流行、最有效的数据增强技术之一。顾名思义,它是SMOTE(合成少数过采样技术Synthetic Minority Over-sampling Technique)的扩展或变体。如果你正在阅读这篇文章,我假设你已经熟悉了SMOTE,下面仍然给出一个简短的介绍:

MLSMOTE

与在SMOTE中一样,我们提供数据并对其进行扩充,以生成选择参考点的同一类的更多样本,但在Multi-label设置中,它失败了,因为数据的每个实例都与各种标签相关联。所以有可能一个包含少数标签的样本也可能包含另一个包含多数标签的样本所以我们也必须为合成数据生成标签。在多标签设置中,我们把大多数标签称为头标签,把少数标签称为尾标签。可以对MLSMOTE中涉及的步骤进行分区。

  1. 选择要扩充的数据。在多标签数据中更有可能有多个标签是尾标签,因此应该建立适当的标准来选择那些被认为是少数的标签;
  2. 一旦为所有的尾标签样本选择了数据,我们必须为这些标记数据对应的特征向量生成新的数据;
  3. 根据与数据相关联的所有标签为新生成的数据生成目标标签。

少数实例选择Minority Instance Selection:

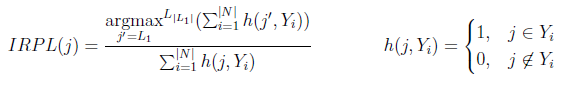
为了生成合成实例,我们需要一些参考点来创建数据,因此在我们应用任何数据增强技术之前,需要选择一个尾标签数据实例。为了选择尾标号,F Charte等给出了两个概念,它们分别为:

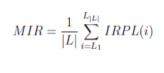
  • 每个标签的失衡比例Imbalance ratio per label: 它是针对每个标签单独计算的。
    在这里插入图片描述
    其中 N 分别表示标签数和实例数(样本数)。
  • 平均失衡率:Mean Imbalance ratio:它被定义为所有标签的IRPL的平均值。
    在这里插入图片描述
    将其IRPL(l) > MIR的每个标签视为尾标签,并将包含该标签的数据的所有实例视为少数实例数据。

特征向量生成Feature Vector Generation:

在这个步骤中,我们知道为什么这个算法被命名为MLSMOTE,因为它使用相同的SMOTE算法为新生成的数据生成特征向量。

标签集合生成Label Set Generation:

在其他多标记数据集尾标记数据的增强技术中,只对特征向量进行增强,对参考数据点的目标变量进行克隆。这种技术完全忽略了关于标签相关性的信息。MLSMOTE提出了三种不同的方法来获得数据的标签相关信息的优势。下面列出了这3种方法:

  • 交集Intersection:只有参考数据点和所有相邻数据点上的标签才会在合成数据点上。
  • 联合Union:所有在参考数据点或任何相邻数据点中的标签都在合成数据中。
  • 排序Ranking:我们计算每个标签出现在参考数据点和相邻数据点的次数,只有这些标签在频率超过考虑实例的一半的合成数据中被考虑。

通过实证研究,证明排序方法是最有效的。

MLSMOTE代码(Python)

# -*- coding: utf-8 -*-
# Importing required Library
import numpy as np
import pandas as pd
import random
from sklearn.datasets import make_classification
from sklearn.neighbors import NearestNeighbors
def create_dataset(n_sample=1000):
    Create a unevenly distributed sample data set multilabel  
    classification using make_classification function
    nsample: int, Number of sample to be created
    return
    X: pandas.DataFrame, feature vector dataframe with 10 features 
    y: pandas.DataFrame, target vector dataframe with 5 labels
    X, y = make_classification(n_classes=5, class_sep=2, 
                           weights=[0.1,0.025, 0.205, 0.008, 0.9], n_informative=3, n_redundant=1, flip_y=0,
                           n_features=10, n_clusters_per_class=1, n_samples=1000, random_state=10)
    y = pd.get_dummies(y, prefix='class')
    return pd.DataFrame(X), y
def get_tail_label(df):
    Give tail label colums of the given target dataframe
    df: pandas.DataFrame, target label df whose tail label has to identified
    return
    tail_label: list, a list containing column name of all the tail label
    columns = df.columns
    n = len(columns)
    irpl = np.zeros(n)
    for column in range(n):
        irpl[column] = df[columns[column]].value_counts()[1]
    irpl = max(irpl)/irpl
    mir = np.average(irpl)
    tail_label = []
    for i in range(n):
        if irpl[i] > mir:
            tail_label.append(columns[i])
    return tail_label
def get_index(df):
  give the index of all tail_label rows
  df: pandas.DataFrame, target label df from which index for tail label has to identified
  return
  index: list, a list containing index number of all the tail label
  tail_labels = get_tail_label(df)
  index = set()
  for tail_label in tail_labels:
    sub_index = set(df[df[tail_label]==1].index)
    index = index.union(sub_index)
  return list(index)
def get_minority_instace(X, y):
    Give minority dataframe containing all the tail labels
    X: pandas.DataFrame, the feature vector dataframe
    y: pandas.DataFrame, the target vector dataframe
    return
    X_sub: pandas.DataFrame, the feature vector minority dataframe
    y_sub: pandas.DataFrame, the target vector minority dataframe
    index = get_index(y)
    X_sub = X[X.index.isin(index)].reset_index(drop = True)
    y_sub = y[y.index.isin(index)].reset_index(drop = True)
    return X_sub, y_sub
def nearest_neighbour(X):
    Give index of 5 nearest neighbor of all the instance
    X: np.array, array whose nearest neighbor has to find
    return
    indices: list of list, index of 5 NN of each element in X
    nbs=NearestNeighbors(n_neighbors=5,metric='euclidean',algorithm='kd_tree').fit(X)
    euclidean,indices= nbs.kneighbors(X)
    return indices
def MLSMOTE(X,y, n_sample):
    Give the augmented data using MLSMOTE algorithm
    X: pandas.DataFrame, input vector DataFrame
    y: pandas.DataFrame, feature vector dataframe
    n_sample: int, number of newly generated sample
    return
    new_X: pandas.DataFrame, augmented feature vector data
    target: pandas.DataFrame, augmented target vector data
    indices2 = nearest_neighbour(X)
    n = len(indices2)
    new_X = np.zeros((n_sample, X.shape[1]))
    target = np.zeros((n_sample, y.shape[1]))
    for i in range(n_sample):
        reference = random.randint(0,n-1)
        neighbour = random.choice(indices2[reference,1:])
        all_point = indices2[reference]
        nn_df = y[y.index.isin(all_point)]
        ser = nn_df.sum(axis = 0, skipna = True)
        target[i] = np.array([1 if val>2 else 0 for val in ser])
        ratio = random.random()
        gap = X.loc[reference,:] - X.loc[neighbour,:]
        new_X[i] = np.array(X.loc[reference,:] + ratio * gap)
    new_X = pd.DataFrame(new_X, columns=X.columns)
    target = pd.DataFrame(target, columns=y.columns)
    new_X = pd.concat([X, new_X], axis=0)
    target = pd.concat([y, target], axis=0)
    return new_X, target
if __name__=='__main__':
    main function to use the MLSMOTE
    X, y = create_dataset()                     #Creating a Dataframe
    X_sub, y_sub = get_minority_instace(X, y)   #Getting minority instance of that datframe
    X_res,y_res =MLSMOTE(X_sub, y_sub, 100)     #Applying MLSMOTE to augment the dataframe
                    处理在多标签分类任务中数据不平衡问题——多标签合成少数类过采样技术(Multi label Synthetic Minority Over-sampling Technique,MLSMOTE)
                    Multi label Synthetic Minority Over-sampling Technique,MLSMOTEMLSMOTE代码(Python)在处理分类问题时,类别失衡是我们经常遇到的问题,也是经常出现在实际使用场景中的问题。类别失衡会给预测任务带来挑战,并且会导致少数类别的预测效果较差因为大部分机器学习算法的假设场景是类别(数据)平衡的前提。本文原始链接  MLSMOTE分类是一种有监督学习技术,是将目标数据分类至提前已经定义好的类别中。大多数有监督学习方法,基于一种正式的设定,
????categorical_crossentropy????
????binary_crossentropy????
二分类、多分类与多标签问题的区别及对应损失函数的选择
这篇主要分析了so
				
平衡MLC 对于单标签分类(SLC)问题,已经对不平衡数据集对分类模型的有效性的影响进行了彻底和广泛的研究。 这些问题需要二进制分类输出来预测给定输入实例单个类的存在。 在多标签分类MLC)的域,单个输入实例可能具有与其关联的多个类。 由于这种固有的标签并发性,应用于单标签分类问题的许多数据集不平衡补救措施在应用于多标签数据集(MLD)时均无效且可能有害。 例如,最常见的SLC不平衡补救措施之一是随机过采样。 也就是说,随机复制具有不常见标签的实例。 如果将这种幼稚的方法应用于MLD,我们很可能会复制在输入实例同时存在的不想要的标签,甚至可能加剧数据集失衡的严重性。 这是对不平衡多标签分类数据集上几种最新方法功效的实证分析。 在我们的实验,我们使用2017 Pascal VOC图像数据库,该数据库使用自定义的90%/ 10%火车/ Val数据集拆分,手动分区提
重点(Top highlight) One of the common problems in Machine Learning is handling the imbalanced data, in which there is a highly disproportionate in the target classes. 机器学习的常见问题之一是处理平衡数据,其目标类别的比例非常不均衡。 Hello world,.
来了一个kmer 1.首先确认其prefix_array-> hash2inde即prefix转换为int类型,在通过map找到对应的array_index. prefix array index要保存在 2.已知prefix array index,如何在data_array定位,首先需要一个数组,里面保存了prefix array index对应数组的大小,比如第0个index对应后...
一、SMOTE原理 SMOTE的全称是Synthetic Minority Over-Sampling Technique 即“人工少数类过采样法”,非直接对少数类进行重采样,而是设计算法来人工合成一些新的少数样本。 SMOTE步骤__1.选一个正样本 红色圈覆盖
SMOTE的全称是Synthetic Minority Over-Sampling Technique 即“人工少数类过采样法”,非直接对少数类进行重采样,而是设计算法来人工合成一些新的少数样本。 一、SMOTE原理 1、SMOTE步骤__1.选一个正样本 红色圈覆盖 2、SMOTE步骤__2.找到该正样本的K个近邻(假设K = 3) 3、SMOTE步骤__3.随机从K个近邻选出一个样本 4、SMOTE步骤__4.在正样本和随机选出的这个近邻之间的连线上,随机找一点。这个点就是人工合成的新正
1. SMOTE JAIR’2002的文章《SMOTE: Synthetic Minority Over-sampling Technique》提出了一种过采样算法SMOTE。概括来说,本算法基于“插值”来为少数类合成新的样本。 设训练集的一个少数类的样本数为T,那么SMOTE 算法将为这少数类合成NT个新样本。 考虑少数类一个样本 i,特征向量 xi,i∈1,...,Tx_i, i\in {1,...
(JAIR 2002) SMOTE Synthetic Minority Over-sampling Technique 这篇文章讨论了样本不均衡问题。思路很简单清晰。 简单介绍一下:样本不均衡是指在分类过程,有些类拥有大量的训练样本,有些类则只有少数的样本,让分类器学习起来很困难。而这样的情况又是最常见的,比如说二分类:要对图像检测到的物体识别是苹果还是非苹果,那么非类作为负样本具有无穷
利用深度学习做多分类在工业或是在科研环境都是常见的任务。在科研环境下,无论是NLP、CV或是TTS系列任务数据都是丰富且干净的。而在现实的工业环境数据问题常常成为困扰从业者的一大难题;常见的数据问题包含有: 数据样本量少 数据缺乏标注 数据不干净,存在大量的扰动 数据的类间样本数量分布不均衡等等。 除此之外,还存在其他的问题,本文不逐一列举。针对上述第4个问题,2020年7月google发表论文《 Long-Tail Learning via Logit Adjustment 》 通过 BER
训练集标签类别不平衡机器学习模型训练非常常见的一个问题。它是指训练集标签A和标签B样本数比例差别很大,当要预测小类标签,即使模型的效果特别差,模型预测的准确率也能达到很高的数值。因此,我们需要处理平衡数据集,避免这种情况出现。 一般情况下,我们需要处理的是极不平衡问题(比如类别比例在1:100)。 在类别不平衡的情况下,关于混淆矩阵评估指标(准确率:accuracy;精确率:precision;召回率:recall)的解读: 高召回率+高精确率:模型具有很全很好的预测效果 低召回率+高精确率:模
处理在多标签分类任务中数据不平衡问题——多标签合成少数类过采样技术(Multi label Synthetic Minority Over-sampling Technique,MLSMOTE) import read_TEdat import diagnosis_pca as pca from sklearn.preprocessing import StandardScaler 这一部分是怎么出来的呢,麻烦了Ծ‸Ծ博主!